土壤水分作为连接降水、蒸散发、径流与生态过程的关键变量,是水文模拟、气候变化研究和农业生态管理中的核心基础信息。在地形起伏剧烈、气候条件复杂的山区,遥感土壤水分反演长期面临地面观测稀缺、地表异质性强以及算法适应性不足等挑战,不同卫星产品在山区的可靠性、适用性缺乏系统认识,已成为全球山区水文—生态研究的重要瓶颈。近期,成都山地灾害与环境研究所山地地表过程智能监测与模拟创新团队杨艳青博士针对全球山区土壤水分遥感产品开展了误差分析与系统评估,并取得系列新进展。
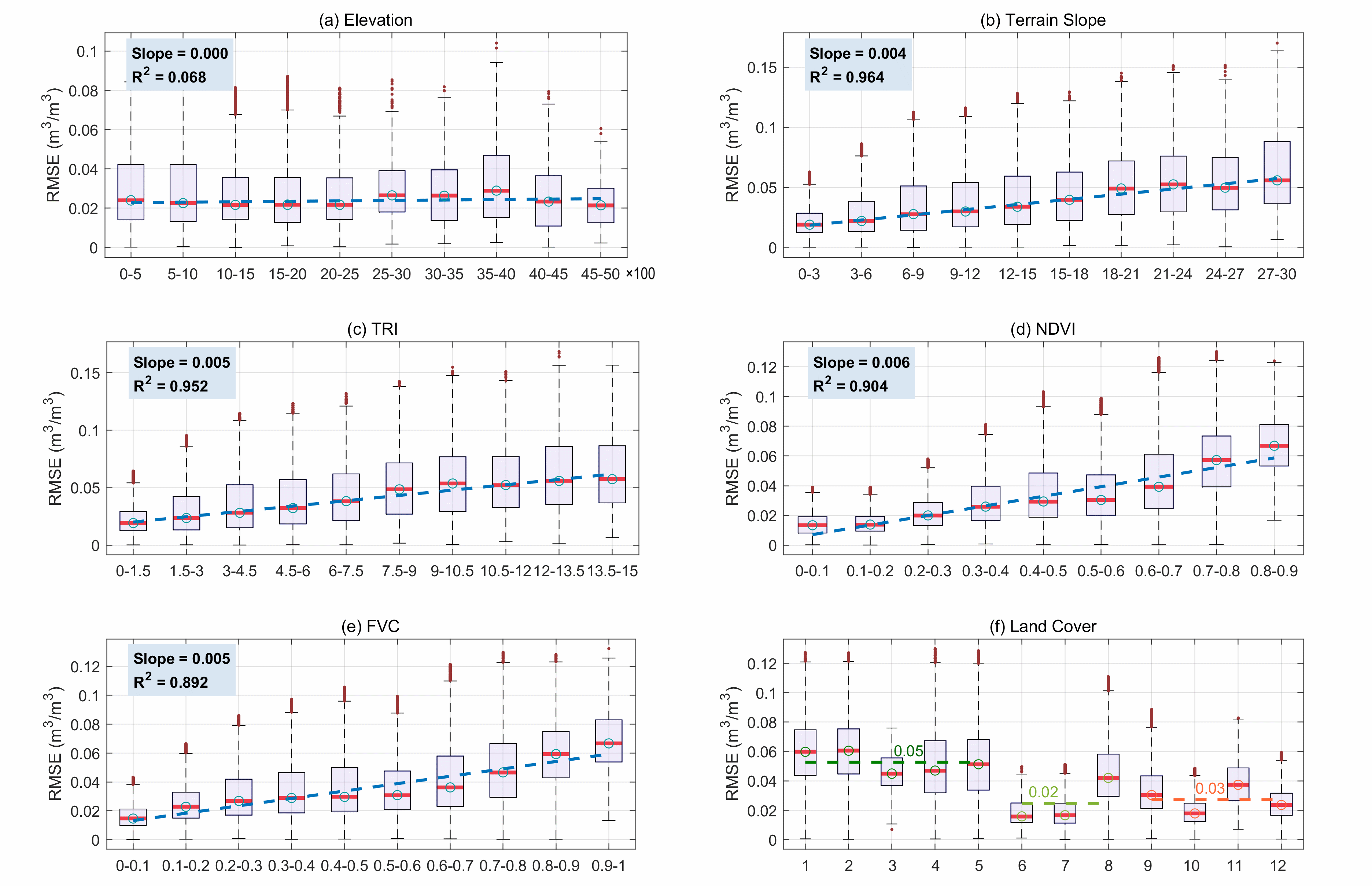
研究整合国际土壤水分共享网络(ISMN)的地面观测数据与扩展三重协同法(Extended Triple Collocation, ETC),对三种主流被动微波土壤水分产品SMAP、SMOS、AMSR2在全球山区的表现进行了对比分析,从绝对误差、相对一致性及环境敏感性等多个维度刻画了不同产品的不确定性特征。结果表明,在复杂山区环境中,SMAP和SMOS整体性能显著优于AMSR2。基于站点验证和ETC评估的综合结果显示,SMAP和SMOS在相关性和误差水平上具有更高一致性,而AMSR2在高坡度、密集植被和复杂地形条件下误差显著放大,表现出较弱的环境适应能力。进一步的站点尺度时间序列分析发现,无论是在逐日变化还是年内分配特征上,SMAP和SMOS均能更好地捕捉土壤水分的季节演变过程,尤其在北美山区表现出较强的动态响应能力。这些独立证据共同验证了不同产品在山区应用中的系统性差异。
该研究同时指出,尽管山区环境下ETC方法的独立误差假设可能受到一定程度破坏,但其在刻画产品相对性能和环境敏感性方面仍具有重要参考价值。通过将ETC与有限的地面观测相结合,可为数据稀缺地区提供空间连续的不确定性信息,并为后续土壤水分多源数据融合和权重设定提供科学依据。相关成果不仅加深了对遥感土壤水分产品在山区适用性的理解,也为改进反演算法、优化产品选择以及支撑山区水文与生态应用提供了重要参考。
研究成果以“Assessing global passive microwave soil moisture retrievals in mountainous terrain: insights from in situ validation and extended triple collocation.”为题,发表在中科院一区TOP期刊GEODERMA上。该研究得到了国家自然科学基金(42222109、42401504、U25A20769)等的资助。

基于ETC方法评估的全球山区被动微波土壤水分产品误差分布(RMSE)

全球山区SMAP土壤水分产品的误差分布梯度(RMSE)